跳转到主要内容
cathy 提交于

<strong>一、功率MOSFET的正向导通等效电路</strong>

1)等效电路:

<center><img src="http://mouser.eetrend.com/files/2018-12/wen_zhang_/100016698-55898-1.pn…; alt=“”></center>

2)说明:

功率 MOSFET 正向导通时可用一电阻等效,该电阻与温度有关,温度升高,该电阻变大;它还与门极驱动电压的大小有关,驱动电压升高,该电阻变小。详细的关系曲线可从制造商的手册中获得。

<strong>二、功率MOSFET的反向导通等效电路(1)</strong>

1)等效电路(门极不加控制):

<center><img src="http://mouser.eetrend.com/files/2018-12/wen_zhang_/100016698-55899-2.pn…; alt=“”></center>

2)说明:

即内部二极管的等效电路,可用一电压降等效,此二极管为MOSFET 的体二极管,多数情况下,因其特性很差,要避免使用。

<strong>三、功率MOSFET的反向导通等效电路(2)</strong>

1)等效电路(门极加控制):

<center><img src="http://mouser.eetrend.com/files/2018-12/wen_zhang_/100016698-55900-3.pn…; alt=“”></center>

2)说明:

功率 MOSFET 在门级控制下的反向导通,也可用一电阻等效,该电阻与温度有关,温度升高,该电阻变大;它还与门极驱动电压的大小有关,驱动电压升高,该电阻变小。详细的关系曲线可从制造商的手册中获得。此工作状态称为MOSFET 的同步整流工作,是低压大电流输出开关电源中非常重要的一种工作状态。

<strong>四、功率MOSFET的正向截止等效电路</strong>

1)等效电路:

<center><img src="http://mouser.eetrend.com/files/2018-12/wen_zhang_/100016698-55901-4.pn…; alt=“”></center>

2)说明:

功率 MOSFET 正向截止时可用一电容等效,其容量与所加的正向电压、环境温度等有关,大小可从制造商的手册中获得。

<strong>五、功率MOSFET的稳态特性总结</strong>

1)功率MOSFET 稳态时的电流/电压曲线:

<center><img src="http://mouser.eetrend.com/files/2018-12/wen_zhang_/100016698-55902-5.jp…; alt=“” width="600"></center>

2)说明:

功率 MOSFET 正向饱和导通时的稳态工作点:

<center><img src="http://mouser.eetrend.com/files/2018-12/wen_zhang_/100016698-55903-6.pn…; alt=“” ></center>

当门极不加控制时,其反向导通的稳态工作点同二极管。

3)稳态特性总结:

门极与源极间的电压Vgs 控制器件的导通状态;当Vgs&lt;Vth时,器件处于断开状态,Vth一般为 3V;当Vgs>Vth时,器件处于导通状态;器件的通态电阻与Vgs有关,Vgs大,通态电阻小;多数器件的Vgs为 12V-15V ,额定值为+-30V;

器件的漏极电流额定是用它的有效值或平均值来标称的;只要实际的漏极电流有效值没有超过其额定值,保证散热没问题,则器件就是安全的;

器件的通态电阻呈正温度系数,故原理上很容易并联扩容,但实际并联时,还要考虑驱动的对称性和动态均流问题;

目前的 Logic-Level的功率 MOSFET,其Vgs只要 5V,便可保证漏源通态电阻很小;

器件的同步整流工作状态已变得愈来愈广泛,原因是它的通态电阻非常小(目前最小的为2-4 毫欧),在低压大电流输出的DC/DC 中已是最关键的器件。

<strong>六、包含寄生参数的功率MOSFET等效电路</strong>

1)等效电路:

<center><img src="http://mouser.eetrend.com/files/2018-12/wen_zhang_/100016698-55904-7.jp…; alt=“” width="600"></center>

2)说明:

实际的功率MOSFET 可用三个结电容,三个沟道电阻,和一个内部二极管及一个理想MOSFET 来等效。三个结电容均与结电压的大小有关,而门极的沟道电阻一般很小,漏极和源极的两个沟道电阻之和即为MOSFET 饱和时的通态电阻。

<strong>七、功率MOSFET的开通和关断过程原理</strong>

1)开通和关断过程实验电路:

<center><img src="http://mouser.eetrend.com/files/2018-12/wen_zhang_/100016698-55905-8.pn…; alt=“” ></center>

2)MOSFET 的电压和电流波形:

<center><img src="http://mouser.eetrend.com/files/2018-12/wen_zhang_/100016698-55906-9.jp…; alt=“” ></center>

3)开关过程原理:

<strong>开通过程[ t0 ~ t4 ]:</strong>

在 t0 前,MOSFET 工作于截止状态,t0 时,MOSFET 被驱动开通;

[t0-t1]区间,MOSFET 的GS 电压经Vgg 对Cgs充电而上升,在t1时刻,到达维持电压Vth,MOSFET 开始导电;

[t1-t2]区间,MOSFET 的DS 电流增加,Millier 电容在该区间内因DS 电容的放电而放电,对GS 电容的充电影响不大;

[t2-t3]区间,至t2 时刻,MOSFET 的DS 电压降至与Vgs 相同的电压,Millier 电容大大增加,外部驱动电压对Millier 电容进行充电,GS 电容的电压不变,Millier 电容上电压增加,而DS电容上的电压继续减小;

[t3-t4]区间,至t3 时刻,MOSFET 的DS 电压降至饱和导通时的电压,Millier 电容变小并和GS 电容一起由外部驱动电压充电,GS 电容的电压上升,至t4 时刻为止。此时GS 电容电压已达稳态,DS 电压也达最小,即稳定的通态压降。

<strong>关断过程[ t5 ~t9 ]:</strong>

在 t5 前,MOSFET 工作于导通状态, t5 时,MOSFET 被驱动关断;

[t5-t6]区间,MOSFET 的Cgs 电压经驱动电路电阻放电而下降,在t6 时刻,MOSFET 的通态电阻微微上升,DS 电压梢稍增加,但DS 电流不变;

[t6-t7]区间,在t6 时刻,MOSFET 的Millier 电容又变得很大,故GS 电容的电压不变,放电电流流过Millier 电容,使DS 电压继续增加;

[t7-t8]区间,至t7 时刻,MOSFET 的DS 电压升至与Vgs 相同的电压,Millier 电容迅速减小,GS 电容开始继续放电,此时DS 电容上的电压迅速上升,DS 电流则迅速下降;

[t8-t9]区间,至t8 时刻,GS 电容已放电至Vth,MOSFET 完全关断;该区间内GS 电容继续放电直至零。

<strong>八、因二极管反向恢复引起的MOSFET开关波形</strong>

1)实验电路:

<center><img src="http://mouser.eetrend.com/files/2018-12/wen_zhang_/100016698-55907-10.p…; alt=“” ></center>

2)因二极管反向恢复引起的MOSFET 开关波形:

<center><img src="http://mouser.eetrend.com/files/2018-12/wen_zhang_/100016698-55908-11.j…; alt=“” ></center>

<strong>九、功率MOSFET的功率损耗公式</strong>

1)导通损耗:

<center><img src="http://mouser.eetrend.com/files/2018-12/wen_zhang_/100016698-55909-12.p…; alt=“” ></center>

该公式对控制整流和同步整流均适用,

<center><img src="http://mouser.eetrend.com/files/2018-12/wen_zhang_/100016698-55910-13.p…; alt=“” ></center>

该公式在体二极管导通时适用。

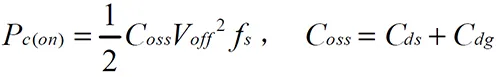
2)容性开通和感性关断损耗:

<center><img src="http://mouser.eetrend.com/files/2018-12/wen_zhang_/100016698-55911-14.p…; alt=“” ></center>
<center><img src="http://mouser.eetrend.com/files/2018-12/wen_zhang_/100016698-55912-15.j…; alt=“” ></center>

为MOSFET 器件与二极管回路中的所有分布电感只和。一般也可将这个损耗看成器件的感性关断损耗。

3)开关损耗:

开通损耗:

<center><img src="http://mouser.eetrend.com/files/2018-12/wen_zhang_/100016698-55913-16.p…; alt=“” width="400"></center>

考虑二极管反向恢复后:

<center><img src="http://mouser.eetrend.com/files/2018-12/wen_zhang_/100016698-55914-17.p…; alt=“” width="400"></center>

关断损耗:

<center><img src="http://mouser.eetrend.com/files/2018-12/wen_zhang_/100016698-55915-18.p…; alt=“” width="400"></center>

驱动损耗:

<center><img src="http://mouser.eetrend.com/files/2018-12/wen_zhang_/100016698-55916-19.p…; alt=“” width="400"></center>

<strong>十、功率MOSFET的选择原则与步骤</strong>

1)选择原则:

a.根据电源规格,合理选择MOSFET 器件(见下表):

b.选择时,如工作电流较大,则在相同的器件额定参数下,应尽可能选择正向导通电阻小的 MOSFET;应尽可能选择结电容小的 MOSFET。

<center><img src="http://mouser.eetrend.com/files/2018-12/wen_zhang_/100016698-55917-20.j…; alt=“” ></center>

2)选择步骤:

a.根据电源规格,计算所选变换器中MOSFET 的稳态参数:

正向阻断电压最大值,最大的正向电流有效值;

b.从器件商的DATASHEET 中选择合适的MOSFET,可多选一些以便实验时比较;

c.从所选的MOSFET 的其它参数,如正向通态电阻,结电容等等,估算其工作时的最大损耗,与其它元器件的损耗一起,估算变换器的效率;

d.由实验选择最终的MOSFET 器件。

<strong>十一、理想开关的基本要求</strong>

1)符号:

<center><img src="http://mouser.eetrend.com/files/2018-12/wen_zhang_/100016698-55918-21.p…; alt=“” ></center>

2)要求:

a.稳态要求:

合上 K 后
①开关两端的电压为零;
②开关中的电流有外部电路决定;
③开关电流的方向可正可负;
④开关电流的容量无限。
断开 K 后
①开关两端承受的电压可正可负;
②开关中的电流为零;
③开关两端的电压有外部电路决定;
④开关两端承受的电压容量无限。
b.动态要求:

K 的开通
①控制开通的信号功率为零;
②开通过程的时间为零。
K 的关断
①控制关断的信号功率为零;
②关断过程的时间为零。

3)波形:

<center><img src="http://mouser.eetrend.com/files/2018-12/wen_zhang_/100016698-55919-22.p…; alt=“” ></center>

其中:H:控制高电平;L:控制低电平

a.Ion 可正可负,其值有外部电路定;
b.Voff 可正可负,其值有外部电路定。

<strong>十二、用电子开关实现理想开关的限制</strong>

1)电子开关的电压和电流方向有限制:
2)电子开关的稳态开关特性有限制:

a.导通时有电压降;(正向压降,通态电阻等)
b.截止时有漏电流;
c.最大的通态电流有限制;
d.最大的阻断电压有限制;
e.控制信号有功率要求,等等。

3)电子开关的动态开关特性有限制:

a.开通有一个过程,其长短与控制信号及器件内部结构有关;
b.关断有一个过程,其长短与控制信号及器件内部结构有关;
c.最高开关频率有限制。

目前作为开关的电子器件非常多。在开关电源中,用得最多的是二极管、MOSFET、IGBT 等,以及它们的组合。

<strong>十三、电子开关的四种结构</strong>

1)单象限开关

<center><img src="http://mouser.eetrend.com/files/2018-12/wen_zhang_/100016698-55920-23.j…; alt=“” ></center>

2)电流双向(双象限)开关

<center><img src="http://mouser.eetrend.com/files/2018-12/wen_zhang_/100016698-55921-24.j…; alt=“” ></center>

3)电压双向(双象限)开关

<center><img src="http://mouser.eetrend.com/files/2018-12/wen_zhang_/100016698-55922-25.j…; alt=“” ></center>

4)四单象限开关

<center><img src="http://mouser.eetrend.com/files/2018-12/wen_zhang_/100016698-55923-26.j…; alt=“” ></center>

<strong>十四、开关器件的分类</strong>

1)按制作材料分类:

a.(Si)功率器件;
b.(Ga)功率器件;
c.(GaAs)功率器件;
d.(SiC)功率器件;
e.(GaN)功率器件--- 下一代
f.(Diamond)功率器件--- 再下一代
2)按是否可控分类:

a.完全不控器件:如二极管器件;
b.可控制开通,但不能控制关断:如普通可控硅器件;
c.全控开关器件;
d.电压型控制器件:如MOSFET,IGBT,IGT/COMFET ,SIT 等;
e.电流型控制期间:如GTR,GTO 等。
3)按工作频率分类:

a.低频功率器件:如可控硅,普通二极管等;
b.中频功率器件:如GTR,IGBT,IGT/COMFET;
c.高频功率器件:如MOSFET,快恢复二极管,萧特基二极管,SIT 等。
4)按额定可实现的最大容量分类:

a.小功率器件:如MOSFET;
b.中功率器件:如IGBT;
c.大功率器件:如GTO。
5)按导电载波的粒子分类:

a.多子器件:如MOSFET,萧特基,SIT,JFET等;
b.少子器件:如IGBT,GTR,GTO,快恢复等。

<strong>十五、不同开关器件的比较</strong>

1)几种可关断器件的功率处理能力比较:

<center><img src="http://mouser.eetrend.com/files/2018-12/wen_zhang_/100016698-55924-27.p…; alt=“” ></center>

2)几种可关断器件的工作特性比较:

<center><img src="http://mouser.eetrend.com/files/2018-12/wen_zhang_/100016698-55925-28.j…; alt=“” ></center>

上面的数据会随器件的发展而不断变化,仅供参考。

本文转载自:<a href="https://mp.weixin.qq.com/s/PNDsSyA-YhGJJJDTEznnxQ">电源网订阅号</a&gt;
声明:本文为转载文章,转载此文目的在于传递更多信息,版权归原作者所有,如涉及侵权,请联系小编邮箱:cathy@eetrend.com 进行处理。

<strong><a href="http://www.mouser.cn/applications/&quot; style="color:red;">点击这里,获取更多关于应用和技术的有关信息</a></strong>
<strong><a href="https://www.mouser.cn/blog&quot; style="color:red;">点击这里,获取更多工程师博客的有关信息</a></strong>