跳转到主要内容
cathy 提交于

<strong>(1)为什么E-MOSFET的阈值电压随着半导体衬底掺杂浓度的提高而增大?而随着温度的升高而下降?</strong>

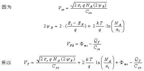
【答】E-MOSFET的阈值电压就是使半导体表面产生反型层(导电沟道)所需要加的栅极电压。对于n沟道E-MOSFET,当栅电压使得p型半导体表面能带向下弯曲到表面势ψs≥2ψB时,即可认为半导体表面强反型,因为这时反型层中的少数载流子(电子)浓度就等于体内的多数载流子浓度(~掺杂浓度);这里的ψB是半导体Fermi势,即半导体禁带中央与Fermi能级之差。阈值电压VT包含有三个部分的电压(不考虑衬偏电压时):栅氧化层上的电压降Vox;半导体表面附近的电压降2ΨB:抵消MOS系统中各种电荷影响的电压降——平带电压VF。

<center><img src="http://mouser.eetrend.com/files/2018-06/wen_zhang_/100011962-42435-1.jp…; alt=“” width="600"></center>

在阈值电压的表示式中,与掺杂浓度和温度有关的因素主要是半导体Fermi势ψB。当p型半导体衬底的掺杂浓度NA提高时,半导体Fermi能级趋向于价带顶变化,则半导体Fermi势ψB增大,从而就使得更加难以达到ψs≥2ψB的反型层产生条件,所以阈值电压增大。

当温度T升高时,半导体Fermi能级将趋向于禁带中央变化,则半导体Fermi势ψB减小,从而导致更加容易达到ψs≥2ψB的反型层产生条件,所以阈值电压降低。

<strong>(2)为什么E-MOSFET的源-漏电流在沟道夹断之后变得更大、并且是饱和的(即与源-漏电压无关)?</strong>

【答】E-MOSFET的沟道夹断是指栅极电压大于阈值电压、出现了沟道之后,源-漏电压使得沟道在漏极端夹断的一种状态。实际上,沟道在一端夹断并不等于完全没有沟道。当栅电压小于阈值电压时,则完全没有沟道,这是不导电的状态——截止状态。而沟道的夹断区由于是耗尽区,增加的源-漏电压也主要是降落在夹断区,则夹断区中存在很强的电场,只要有载流子到达夹断区的边缘,即可被电场拉过、从漏极输出,因此夹断区不但不阻止载流子通过,而相反地却能够很好地导电,所以有沟道、并且沟道在一端夹断的状态,是一种很好的导电状态,则沟道夹断之后的输出源-漏电流最大。

E-MOSFET的沟道在漏极端夹断以后,由于夹断区基本上是耗尽区,则再进一步增加的源-漏电压,即将主要是降落在夹断区,这就使得未被夹断的沟道——剩余沟道的长度基本上保持不变;而在沟道夹断之后的源-漏电流主要是决定于剩余沟道的长度,所以这时的源-漏电流也就基本上不随源-漏电压而变化——输出电流饱和。

<strong>(3)为什么短沟道E-MOSFET的饱和源-漏电流并不完全饱和?</strong>

对于短沟道MOSFET,引起输出源-漏电流饱和的原因基本上有两种:一种是沟道夹断所导致的电流饱和;另一种是速度饱和所导致的电流饱和。

对于沟道夹断的饱和,因为夹断区的长度会随着其上电压的增大而有所增大,则使得剩余沟道的长度也将随着源-漏电压而减短,从而就会引起源-漏电流相应地随着源-漏电压而有所增大——输出电流不完全饱和。不过,这种电流不饱的程度与沟道长度有关:对于长沟道MOSFET,这种夹断区长度随源-漏电压的变化量,相对于整个沟道长度而言,可以忽略,所以这时沟道夹断之后的源-漏电流近似为“饱和”的;但是对于短沟道MOSFET,这种夹断区长度随源-漏电压的变化量,相对于整个沟道长度而言,不能忽略,所以沟道夹断之后的源-漏电流将会明显地随着源-漏电压的增大而增加——不饱和。

对于速度饱和所引起的电流饱和情况,一般说来,当电场很强、载流子速度饱和之后,再进一步增大源-漏电压,也不会使电流增大。因此,这时的饱和电流原则上是与源-漏电压无关的。

对于短沟道MOSFET,还有一个导致电流不饱和的重要原因,即所谓DIBL(漏极感应源端势垒降低)效应。因为源区与沟道之间总是存在一个高低结所造成的势垒,当源-漏电压越高,就将使得该势垒越低,则通过沟道的源-漏电流越大,因此输出电流不会饱和。

总之,导致短沟道MOSFET电流不饱和的因素主要有沟道长度调制效应和DIBL效应。

<strong>(4)为什么E-MOSFET的饱和源-漏电流与饱和电压之间具有平方的关系?</strong>

【答】增强型MOSFET(E-MOSFET)的饱和源-漏电流表示式为

<center><img src="http://mouser.eetrend.com/files/2018-06/wen_zhang_/100011962-42436-2.jp…; alt=“” width="600"></center>

饱和电压(VGS-VT)就是沟道夹断时的源-漏电压。在MOSFET的转移特性(IDsat~VGS)曲线上,E-MOSFET的饱和源-漏电流IDsat与饱和电压(VGS-VT)的关系即呈现为抛物线。导致出现这种平方关系的原因有二:

①沟道宽度越大,饱和源-漏电流越大,饱和电压也就越高;

②电流饱和就对应于沟道夹断,而夹断区即为耗尽层,其宽度与电压之间存在着平方根的关系,这就导致以上的平方结果。正因为MOSFET具有如此平方的电流-电压关系,所以常称其为平方率器件。

<strong>(5)为什么一般MOSFET的饱和源-漏电流具有负的温度系数?</strong>

【答】MOSFET的饱和源-漏电流可表示为

<center><img src="http://mouser.eetrend.com/files/2018-06/wen_zhang_/100011962-42437-3.jp…; alt=“” width="600"></center>

在此关系中,因为材料参数和器件结构参数均与温度的关系不大,则与温度有关的因素主要有二:阈值电压VT和载流子迁移率μn。

由于MOSFET的阈值电压VT具有负的温度系数,所以,随着温度的升高,就使得MOSFET的输出饱和源-漏电流随之增大,即导致电流具有正的温度系数。

而载流子迁移率μn,在室温附近一般将随着温度的升高而下降(主要是晶格振动散射起作用):

<center><img src="http://mouser.eetrend.com/files/2018-06/wen_zhang_/100011962-42438-4.jp…; alt=“”></center>

式中To=300K,m=1.5~2.0。迁移率的这种温度特性即导致MOSFET的增益因子

<center><img src="http://mouser.eetrend.com/files/2018-06/wen_zhang_/100011962-42439-5.jp…; alt=“”></center>

也具有负的温度系数。从而,随着温度的升高,迁移率的下降就会导致MOSFET的输出源-漏电流减小,即电流具有负的温度系数。

综合以上阈值电压和载流子迁移率这两种因素的不同影响,则根据MOSFET饱和电流的表示式即可得知:

①当饱和电压(VGS-VT)较大(即VGS>>VT)时,阈值电压温度关系的影响可以忽略,则输出源-漏电流的温度特性将主要决定于载流子迁移率的温度关系,即具有负的温度系数(温度升高,IDS下降);

②当饱和电压(VGS-VT)较小(即VGS~VT)时,则输出源-漏电流的温度特性将主要决定于阈值电压的温度关系,从而具有正的温度系数(温度升高,IDS也增大)。

而对于一般的MOSFET,为了获得较大的跨导,往往把饱和电压(VGS-VT)选取得较大,因此可以不考虑阈值电压的影响,于是饱和源-漏电流通常都具有负的温度系数。也因此,一般的MOSFET都具有一定的自我保护的功能,则可以把多个管芯直接并联起来,也不会出现因电流分配不均匀而引起的失效;利用这种并联管芯的办法即可方便地达到增大器件输出电流的目的(实际上,功率MOSFET就是采用这种措施来实现大电流的)。

<strong>(6)为什么MOSFET的饱和区跨导大于线性区的跨导?</strong>

【答】饱和区与线性区都是出现了沟道的状态,但是它们的根本差别就在于沟道是否被夹断。电压对沟道宽度的影响是:栅极电压将使沟道宽度均匀地发生变化,源-漏电压将使沟道宽度不均匀地发生变化(则会导致沟道首先在漏极端夹断)。

在线性区时,由于源-漏电压较低,则整个沟道的宽度从头到尾变化不大,这时栅极电压控制沟道导电的能力相对地较差一些,于是跨导较小。同时,随着源-漏电压的增大,沟道宽度的变化增大,使得漏端处的沟道宽度变小,则栅极电压控制沟道导电的能力增强,跨导增大。

而在饱和区时,源-漏电压较高,沟道夹断,即在漏极端处的沟道宽度为0,于是栅极电压控制沟道导电的能力很强(微小的栅极电压即可控制沟道的导通与截止),所以这时的跨导很大。因此,饱和区跨导大于线性区跨导。

可见,沟道越是接近夹断,栅极的控制能力就越强,则跨导也就越大;沟道完全夹断后,电流饱和,则跨导达到最大——饱和跨导。

<strong>(7)为什么MOSFET的饱和跨导一般与饱和电压成正比?但为什么有时又与饱和电压成反比?</strong>

【答】①在源-漏电压VDS一定时:由E-MOSFET的饱和电流IDsat对栅电压的微分,即可得到饱和跨导gmsat与饱和电压(VGS-VT)成正比:

<center><img src="http://mouser.eetrend.com/files/2018-06/wen_zhang_/100011962-42440-6.jp…; alt=“”></center>

这种正比关系的得来,是由于饱和电压越高,就意味着沟道越不容易夹断,则导电沟道厚度必然较大,因此在同样栅极电压下的输出源-漏电流就越大,从而跨导也就越大。

②在饱和电流IDsat一定时:饱和跨导gmsat却与饱和电压(VGS-VT)成反比:

<center><img src="http://mouser.eetrend.com/files/2018-06/wen_zhang_/100011962-42441-7.jp…; alt=“”></center>

这是由于饱和电压越高,就意味着沟道越难以夹断,则栅极的控制能力就越小,即跨导越小。

总之,在源-漏电压一定时,饱和跨导与饱和电压成正比,而在源-漏电流一定时,饱和跨导与饱和电压成反比。

这种相反的比例关系,在其他场合也存在着,例如功耗P与电阻R的关系:当电流一定时,功耗与电阻成正比(P=IV=I2R);当电压一定时,功耗与电阻成反比(P=IV=V2/R)。

<strong>(8)为什么MOSFET的线性区源-漏电导等于饱和区的跨导(栅极跨导)?</strong>

【答】MOSFET的线性区源-漏电导gdlin和饱和区的栅极跨导gmsat,都是表征电压对沟道导电、即对源-漏电流控制能力大小的性能参数。

在线性区时,沟道未夹断,但源-漏电压将使沟道宽度不均匀;这时源-漏电压的变化,源-漏电导gdlin即表征着在沟道未夹断情况下、源-漏电压对源-漏电流的控制能力,这种控制就是通过沟道宽度发生不均匀变化而起作用的。
而饱和区的栅极跨导——饱和跨导gmsat是表征着在沟道夹断情况下、栅-源电压对源-漏电流的控制能力,这时剩余沟道的宽度已经是不均匀的,则这种控制也相当于是通过沟道宽度发生不均匀变化而起作用的,因此这时的栅极跨导就等效于线性区源-漏电导:

<center><img src="http://mouser.eetrend.com/files/2018-06/wen_zhang_/100011962-42442-8.jp…; alt=“”></center>

<strong>(9)为什么在E-MOSFET的栅-漏转移特性上,随着栅-源电压的增大,首先出现的是饱和区电流、然后才是线性区电流?</strong>

【答】E-MOSFET的栅-漏转移特性如图1所示。在栅-源电压VGS小于阈值电压VT时,器件截止(没有沟道),源-漏电流电流很小(称为亚阈电流)。

<center><img src="http://mouser.eetrend.com/files/2018-06/wen_zhang_/100011962-42443-9.jp…; alt=“”></center>

在VGS>VT时,出现沟道,但如果源-漏电压VDS=0,则不会产生电流;只有在VGS>VT和VDS>0时,才会产生电流,这时必然有VDS >(VGS-VT),因此MOSFET处于沟道夹断的饱和状态,于是源-漏电流随栅-源电压而平方地上升。相应地,饱和跨导随栅-源电压而线性地增大,这是由于饱和跨导与饱和电压(VGS-VT)成正比的缘故。

而当栅-源电压进一步增大,使得VDS&lt;(VGS-VT)时,则MOSFET又将转变为沟道未夹断的线性工作状态,于是源-漏电流随栅-源电压而线性地增大。这时,跨导不再变化(与栅电压无关)。

<strong>(10)为什么MOSFET的电流放大系数截止频率fT与跨导gm成正比?</strong>

【答】MOSFET的fT就是输出电流随着频率的升高而下降到等于输入电流时的频率。器件的跨导gm越大,输出的电流就越大,则输出电流随频率的下降也就越慢,从而截止频率就越大,即fT与gm有正比关系:

<center><img src="http://mouser.eetrend.com/files/2018-06/wen_zhang_/100011962-42444-10.j…; alt=“”></center>

由于fT与gm的正比关系,就使得fT与饱和电压(VGS-VT)也有正比关系,从而高频率就要求较大的饱和电压。

<strong>(11)为什么提高MOSFET的频率与提高增益之间存在着矛盾?</strong>

【答】MOSFET的高频率要求它具有较大的跨导,而在源-漏电压一定的情况下,较大的跨导又要求它具有较大的饱和电压(VGS-VT),所以高频率也就要求有较大的饱和电压。

因为MOSFET的电压增益是在源-漏电流一定的情况下、输出电压VDS对栅-源电压VGS的微分,则饱和状态的电压增益Kvsat将要求器件具有较小的饱和电压(VGS-VT):

<center><img src="http://mouser.eetrend.com/files/2018-06/wen_zhang_/100011962-42445-11.j…; alt=“”></center>

这是由于在IDsat一定时,饱和电压越低,饱和跨导就越大,故Kvsat也就越大。

可见,提高频率与增大电压增益,在对于器件饱和电压的要求上存在着矛盾。因此,在工作电流IDsat一定时,为了提高电压增益,就应该减小(VGS-VT)和增大沟道长度L。这种考虑对于高增益MOSFET具有重要的意义;但是这种减小(VGS-VT)的考虑却对于提高截止频率不利。

<strong>(12)为什么E-MOSFET的栅-源短接而构成的MOS二极管存在着“阈值损失”?</strong>

【答】这种集成MOS二极管的连接方式及其伏安特性如图2所示。因为栅极与漏极短接,则VGS=VDS。因此,当电压较小(VGS=VDS&lt;VT)时,不会出现沟道,则器件处于截止状态,输出电流IDS=0;当电压高于阈值电压(VGS=VDS≥VT)时,因为总满足VDS>(VGS-VT)关系,于是出现了沟道、但总是被夹断的,所以器件处于饱和状态,输出源-漏电流最大、并且饱和,为恒流源。

<center><img src="http://mouser.eetrend.com/files/2018-06/wen_zhang_/100011962-42446-12.j…; alt=“”></center>

由于VGS=VDS,所以这种二极管的输出伏安特性将与转移特性完全一致。因为MOSFET的饱和输出电流IDsat与饱和电压(VGS-VT)之间有平方关系,所以该二极管在VGS=VDS≥VT时的输出伏安特性为抛物线关系,并且这也就是其转移特性的关系。

所谓阈值损失,例如在门电路中,是输出高电平要比电源电压低一个阈值电压大小的一种现象。由E型,栅-漏短接的MOS二极管的伏安特性可以见到,当其输出源-漏电流IDS降低到0时,其源-漏电压VDS也相应地降低到VT。这就意味着,这种二极管的输出电压最低只能下降到VT,而不能降低到0。这种“有电压、而没有电流”的性质,对于用作为有源负载的这种集成MOS二极管而言,就必将会造成阈值损失。

<strong>(13)为什么在MOSFET中存在有BJT的作用?这种作用有何危害?</strong>

【答】①对于常规的MOSFET:如图3(a)所示,源区、漏区和p衬底即构成了一个npn寄生晶体管。当沟道中的电场较强时,在夹断区附近的电子即将获得很大的能量而成为热电子,然后这些热电子通过与价电子的碰撞、电离,就会形成一股流向衬底的空穴电流Ib;该过衬底电流就是寄生晶体管的基极电流,在热电子效应较严重、衬底电流较大时,即可使寄生晶体管导通,从而破坏了MOSFET的性能。这种热电子效应的不良影响往往是较短沟道MOSFET的一种重要失效机理。

②对于CMOS器件:在CMOS器件的芯片中,存在着npnp的四层结构——晶闸管。当其中的BJT因为热电子效应而导通时,即可发生所谓“闩锁效应”、而导致器件失效。

<center><img src="http://mouser.eetrend.com/files/2018-06/wen_zhang_/100011962-42447-13.j…; alt=“”></center>

③对于VDMOSFET:观察图3(b)中的结构,即可见到,当器件正向导通时,其中存在一个工作于放大状态的寄生n-p-n晶体管(n+源区是发射区,n-外延层是集电区,p沟道是基区)。该寄生晶体管的可能导电通道是与MOSFET的ID相并联的,故在VDMOSFET工作时,必须要注意防止寄生晶体管导通;否则,寄生晶体管的导通就可能引起二次击穿,使得功率MOSFET完全失去功能。

为了避免VDMOSFET在正向工作时、其中寄生n-p-n晶体管的导通,可以设法使寄生晶体管的电流放大系数变得很小、甚至减至为0——采用“阴极短路技术”,即把寄生晶体管的发射极与基极短接起来,工艺上就通过把发射区(源极区)的金属电极延伸到沟道体区的表面上来实现。因为这种阴极短路结构截断了发射极注入载流子的功能,所以能够防止寄生晶体管的导通。

对于VDMOSFET,在采用了阴极短路结构之后,实际上又恰恰在器件内部形成了一个p-n-n+二极管,这个二极管与VDMOSFET是反向并联的,这也就顺便地在VDMOSFET中设置了一个阻尼二极管(续流二极管),该二极管对于泄放反向电动势、防止主体晶体管的击穿具有重要作用。

<strong>(14)为什么在VDMOSFET中存在有JFET的作用?有何不良影响?</strong>

【答】如图4所示,源-漏电流是从芯片表面向下流动的,并在电流通路的两侧是pn结,因此这种电流输运的过程,从工作原理上来看,就相当于是一个寄生JFET。从而可以把VDMOSFET等效为一个MOSFET与一个寄生JFET的串联组合,其中很大部分n-漂移区就相当于是寄生JFET的沟道。

由于JFET的输出交流电阻非常大,同时也因为较高的源-漏电压而具有很大的输出直流电阻,所以就使得VDMOSFET的导通电阻大大增加,因此n-漂移区的厚度和掺杂浓度对整个器件性能的影响都较大。

为了消除VDMOSFET中寄生JFET的影响,以降低导通电阻,就必须在结构上加以改变,由此发展出了V形槽栅、U形槽栅和沟槽(Trench)栅等结构的MOSFET。

<center><img src="http://mouser.eetrend.com/files/2018-06/wen_zhang_/100011962-42448-14.j…; alt=“”></center>

<strong>(15)IGBT和MCT都是MOS栅极控制的功率场效应晶体管,为什么说它们是两种完全不同的器件?</strong>

【答】IGBT(绝缘栅双极型场效应晶体管)和MCT(MOS控制晶闸管)的共同点主要有:

①都是MOS栅极控制的器件,则具有功率场效应晶体管的优点;

②在结构上,其中都存在着四层、三结的晶闸管结构,因此在一定条件下会出现阳极电流闩锁效应;

③它们都可以采用多个元胞并联的结构,因此可以获得很大的工作电流;

③它们都是有两种载流子参与工作的器件,因此都是双极型的场效应晶体管,导通电阻低,但开关速度也相对地要比MOSFET的低。

IGBT和MCT的最大不同点就在于它们的工作状态和性质不相同,因此说它们是两种完全不同的器件:

①IGBT的工作电流主要是通过MOS沟道的电流,而其中的晶闸管电流是需要极力避免的(IGBT的最大工作电流——擎住电流就是其中晶闸管不导通时的电流),因此从本质上来看,IGBT基本上是一种MOSFET,因此IGBT具有MOS器件的许多优点,例如较强的栅极的控制能力和较低的驱动功率(因为有很大的输入电阻和较小的输入电容之故)。

而MCT与IGBT的恰恰相反,它的工作电流主要是晶闸管电流,至于MOS沟道的电流,则主要是起着触发晶闸管导通或者关断的作用,不是MCT的主要工作电流,因此从本质上来看,MCT基本上是一种晶闸管——双极型器件,从而MCT具有导通电阻很低、耐压很高、功率容量很大的优点。

②IGBT虽然在本质上是一种MOS器件,但又不同于一般的MOSFET,因为IGBT在导通工作时,有少数载流子注入到高阻的耐压层(漂移区),可以产生电导调制,则它的导通电阻较小,增大了器件的电流容量(电流密度要比VDMOSFET的高2~3倍);同时由于高阻耐压层的引入而提高了工作电压。因此IGBT的功率容量很大。只是IGBT的开关速度,由于少数载流子的引入而相应地有所降低。

③虽然MCT本质上是一种晶闸管,而且MOS栅极可以关断阳极电流,但MCT又不同于一般的可关断晶闸管(GTO)。因为MCT实际上是一种把单极型的MOSFET与双极型的晶闸管组合而成的复合型器件,也是一种所谓Bi-MOS器件,所以它具有MOS器件和双极型器件二者的长处:较强的栅极控制能力,较低的驱动功率,较高的开关速度,较大功率容量。

本文转载自:<a href="https://wenku.baidu.com/view/c226b96127d3240c8447ef5d.html">百度文库</a&gt;
声明:本文为转载文章,转载此文目的在于传递更多信息,版权归原作者所有,如涉及侵权,请联系小编邮箱:cathy@eetrend.com 进行处理。