跳转到主要内容
cathy 提交于

<strong>1. 晶振与晶体的区别</strong>

1) 晶振是有源晶振的简称,又叫振荡器。英文名称是oscillator。晶体则是无源晶振的简称,也叫谐振器。英文名称是crystal.

2) 无源晶振(晶体)一般是直插两个脚的无极性元件,需要借助时钟电路才能产生振荡信号。常见的有49U、49S封装。

3) 有源晶振(晶振)一般是表贴四个脚的封装,内部有时钟电路,只需供电便可产生振荡信号。一般分7050、5032、3225、2520几种封装形式。

<strong>2. MEMS硅晶振与石英晶振区别</strong>

MEMS硅晶振采用硅为原材料,采用先进的半导体工艺制造而成。因此在高性能与低成本方面,有明显于石英的优势,具体表现在以下方面:

1) 全自动化半导体工艺(芯片级),无气密性问题,永不停振。

2) 内部包含温补电路,无温漂,-40—85℃全温保证。

3) 平均无故障工作时间5亿小时。

4) 抗震性能25倍于石英振荡器。

5) 支持1-800MHZ任一频点,精确致小数点后5位输出。

6) 支持1.8V、2.5V、2.8V、3.3V多种工作电压匹配。

7) 支持10PPM、20PPM、25PPM、30PPM、50PPM等各种精度匹配。

8) 支持7050、5032、3225、2520所有标准尺寸封装。

9) 标准四脚、六脚封装,无需任何设计改动,直接替代石英振荡器。

10) 支持差分输出、单端输出、压控(VCXO)、温补(TCXO)等产品种类。

11) 300%的市场增长率,三年内有望替代80%以上的石英振荡器市场。

<strong>3. 晶体谐振器的等效电路</strong>

<center><img src="http://mouser.eetrend.com/files/2017-06/wen_zhang_/100006596-20685-qb1…; alt=“” ></center>

上图是一个在谐振频率附近有与晶体谐振器具有相同阻抗特性的简化电路。其中:C1为动态电容也称等效串联电容;L1为动态电感也称等效串联电感;R1为动态电阻也称等效串联电阻;C0为静态电容也称等效并联电容。

这个等效电路中有两个最有用的零相位频率,其中一个是谐振频率(Fr),另一个是反谐振频率(Fa)。当晶体元件实际应用于振荡电路中时,它一般还会与一负载电容相联接,共同作用使晶体工作于Fr和Fa之间的某个频率,这个频率由振荡电路的相位和有效电抗确定,通过改变电路的电抗条件,就可以在有限的范围内调节晶体频率。

<strong>4. 关键参数</strong>

4.1 标称频率

指晶体元件规范中所指定的频率,也即用户在电路设计和元件选购时所希望的理想工作频率。

4.2 调整频差

基准温度时,工作频率相对于标称频率的最大允许偏离。常用ppm(1/106)表示。

4.3 温度频差

在整个温度范围内工作频率相对于基准温度时工作频率的允许偏离。常用ppm(1/106)表示。

4.4 老化率

指在规定条件下,由于时间所引起的频率漂移。这一指标对精密晶体是必要的,但它“没有明确的试验条件,而是由制造商通过对所有产品有计划抽验进行连续监督的,某些晶体元件可能比规定的水平要差,这是允许的”(根据IEC的公告)。老化问题的最好解决方法只能靠制造商和用户之间的密切协商。

4.5 谐振电阻(Rr)

指晶体元件在谐振频率处的等效电阻,当不考虑C0的作用,也近似等于所谓晶体的动态电阻R1或称等效串联电阻(ESR)。这个参数控制着晶体元件的品质因数,还决定所应用电路中的晶体振荡电平,因而影响晶体的稳定性以致是否可以理想的起振。所以它是晶体元件的一个重要指标参数。一般的,对于一给定频率,选用的晶体盒越小,ESR的平均值可能就越高;绝大多数情况,在制造过程中并不能预计具体某个晶体元件的电阻值,而只能保证电阻将低于规范中所给的最大值。

4.6 负载谐振电阻(RL)

指晶体元件与规定外部电容相串联,在负载谐振频率FL时的电阻。对一给定晶体元体,其负载谐振电阻值取决于和该元件一起工作的负载电容值,串上负载电容后的谐振电阻,总是大于晶体元件本身的谐振电阻。

4.7 负载电容(CL)

与晶体元件一起决定负载谐振频率FL的有效外界电容。晶体元件规范中的CL是一个测试条件也是一个使用条件,这个值可在用户具体使用时根据情况作适当调整,来微调FL的实际工作频率(也即晶体的制造公差可调整)。但它有一个合适值,否则会给振荡电路带来恶化,其值通常采用10pF、15pF 、20pF、30pF、50pF、∝等,其中当CL标为∝时表示其应用在串联谐振型电路中,不要再加负载电容,并且工作频率就是晶体的(串联)谐振频率Fr。用户应当注意,对于某些晶体(包括不封装的振子应用),在某一生产规范既定的负载电容下(特别是小负载电容时),±0.5pF的电路实际电容的偏差就能产生±10×10-6的频率误差。因此,负载电容是一个非常重要的订货规范指标。

4.8 静态电容(C0)

等效电路静态臂里的电容。它的大小主要取决于电极面积、晶片厚度和晶片加工工艺。

4.9 动态电容(C1)

等效电路中动态臂里的电容。它的大小主要取决于电极面积,另外还和晶片平行度、微调量的大小有关。

4.10 动态电感(L1)

等效电路中动态臂里的电感。动态电感与动态电容是一对相关量。

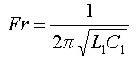
4.11 谐振频率(Fr)

<center><img src="http://mouser.eetrend.com/files/2017-06/wen_zhang_/100006596-20686-qb2…; alt=“” ></center>

指在规定条件下,晶体元件电气阻抗为电阻性的两个频率中较低的一个频率。根据等效电路,当不考虑C0的作用,Fr由C1和L1决定,近似等于所谓串联(支路)谐振频率(Fs)。这一频率是晶体的自然谐振频率,它在高稳晶振的设计中,是作为使晶振稳定工作于标称频率、确定频率调整范围、设置频率微调装置等要求时的设计参数。

4.12 负载谐振频率(FL)

指在规定条件下,晶体元件与一负载电容串联或并联,其组合阻抗呈现为电阻性时两个频率中的一个频率。在串联负载电容时,FL是两个频率中较低的那个频率;在并联负载电容时,FL则是其中较高的那个频率。对于某一给定的负载电容值(CL),就实际效果,这两个频率是相同的;而且

这一频率是晶体的绝大多数应用时,在电路中所表现的实际频率,也是制造厂商为满足用户对产品符合标称频率要求的测试指标参数。

<center><img src="http://mouser.eetrend.com/files/2017-06/wen_zhang_/100006596-20687-qb3…; alt=“” ></center>

4.13 品质因数(Q)

品质因数又称机械Q值,它是反映谐振器性能好坏的重要参数,它与L1和C1有如下关系:

Q=wL1/R1=1/wR1C1

如上式,R1越大,Q值越低,功率耗散越大,而且还会导致频率不稳定。反之Q值越高,频率越稳定。

4.14 激励电平(Level of drive)

是一种用耗散功率表示的,施加于晶体元件的激励条件的量度。所有晶体元件的频率和电阻都在一定程度上随激励电平的变化而变化,这称为激励电平相关性(DLD),因此订货规范中的激励电平须是晶体实际应用电路中的激励电平。正因为晶体元件固有的激励电平相关性的特性,用户在振荡电路设计和晶体使用时,必须注意和保证不出现激励电平过低而起振不良或过度激励频率异常的现象。

4.15 激励电平相关性(DLD)

由于压电效应,激励电平强迫谐振子产生机械振荡,在这个过程中,加速度功转化为动能和弹性能,功耗转化为热。后者的转换是由于石英谐振子的内部和外部的摩擦所造成的。

摩擦损耗与振动质点的速度有关,当震荡不再是线性的,或当石英振子内部或其表面及安装点的拉伸或应变、位移或加速度达到临界时,摩擦损耗将增加。因而引起频率和电阻的变化。

加工过程中造成DLD不良的主要原因如下,其结果可能是不能起振:

1) 谐振子表面存在微粒污染。主要产生原因为生产环境不洁净或非法接触晶片表面;

2) 谐振子的机械损伤。主要产生原因为研磨过程中产生的划痕。

3) 电极中存在微粒或银球。主要产生原因为真空室不洁净和镀膜速率不合适。

4) 装架是电极接触不良;

5) 支架、电极和石英片之间存在机械应力。

4.16 DLD2(单位:欧姆)

不同激励电平下的负载谐振电阻的最大值与最小值之间的差值。(如:从0.1uw~200uw,总共20步)。

4.17 RLD2(单位:欧姆)

不同激励电平下的负载谐振电阻的平均值<与谐振电阻Rr的值比较接近,但要大一些>。(如:从0.1uw~200uw,总共20步)。

4.18 寄生响应

所有晶体元件除了主响应(需要的频率)之外,还有其它的频率响应。减弱寄生响应的办法是改变晶片的几何尺寸、电极,以及晶片加工工艺,但是同时会改变晶体的动、静态参数。

<strong>寄生响应的测量</strong>

1) SPDB 用DB表示Fr的幅度与最大寄生幅度的差值;

2) SPUR 在最大寄生处的电阻;

3) SPFR 最小电阻寄生与谐振频率的距离,用Hz或ppm表示。

<strong>5. 晶体振荡器的分类</strong>

5.1 Package石英振荡器(SPXO)

不施以温度控制及温度补偿的石英振荡器。频率温度特性依靠石英振荡晶体本身的稳定性。

5.2 温度补偿石英振荡器(TCXO)

附加温度补偿回路,减少其频率因周围温度变动而变化之石英振荡器。

5.3 电压控制石英振荡器(VCXO)

控制外来的电压,使输出频率能够变化或调变的石英振荡器。

5.4 恒温槽式石英振荡器(OCXO)

以恒温槽保持石英振荡器或石英振荡晶体在一定温度,控制其输出频率在周围温度下也能保持极小变化量之石英振荡器。

除了以上四种振荡器外,随着PLL、Digital、Memory技术的应用,其他功能的多元化石英振荡器也快速增加。

本文转载自<a href="http://mp.weixin.qq.com/s/mnwc9f5BX1U7InROuJskFw">EDN电子技术设计</a&gt;